Hjælp til reducering i matematik. {{forumTopicSubject}}
Hej.
Jeg har før haft held med at spørge herinde da der sidder mange kloge hoveder så jeg prøver lige igen.
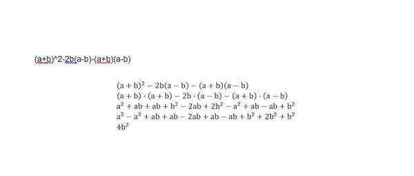
Jeg skal reducere udtrykket (a+b)^2-2b(a-b)-(a+b)(a-b)
Jeg ved at det skal give 4b^2 men kan ikke lige finde frem til det..
Mvh Frederik
feb 2005
Følger: 11 Følgere: 5 Biler: 3 Emner: 111 Svar: 2.320
Det er vigtigt at man husker ++ og -+ reglerne når man ganger sammen
feb 2005
Følger: 11 Følgere: 5 Biler: 3 Emner: 111 Svar: 2.320
apr 2013
Følger: 4 Følgere: 13 Emner: 63 Svar: 12.873
(a + b)·(a+b - (a-b)) - 2b·(a - b) =
(a + b)·(2b) - 2b·(a - b) =
2b·(a+b - (a-b)) =
2b·(2b) = (2b)2 = 4b2
feb 2005
Følger: 11 Følgere: 5 Biler: 3 Emner: 111 Svar: 2.320
dec 2005
Følger: 68 Følgere: 73 Biler: 7 Emner: 179 Svar: 2.267
sep 2015
Følger: 3 Følgere: 1 Emner: 12 Svar: 115
okt 2010
Følger: 2 Følgere: 15 Emner: 17 Svar: 3.179
Math er bare godyl gylle for nørder
Synd at BG ikke har matematiske tegnsæt i stedet for de fjollede gule månefjæser
MVH KP
apr 2007
Følger: 46 Følgere: 40 Biler: 1 Emner: 223 Svar: 2.135
Haha hold da op
maj 2006
Følger: 29 Følgere: 85 Biler: 9 Emner: 14 Svar: 17.246
Du kan med fordel bruge to huske-/regneregler:
(a + b)² = a² + b² + 2ab
(a + b)(a - b) = a² - b²
Reglerne gælder helt generelt og kan bruges i mange sammenhænge. Det er derfor en fordel, at du husker reglerne. Du kan naturligvis også udlede dem ved at regne dem ud - men hvis du sidder med 100 reduktionsstykker, er det lidt lettere at bruge ovenstående huskeregler
Med ovenstående in mente bliver svaret altså (jeg har delt det op, så der står et led pr. linje for overblikkets skyld)
(a + b)² -
2b(a - b) -
(a + b)(a - b)
1. led: a² + b² + 2ab
2. led: 2ab - 2b²
3. led: a² - b²
( a² + b² + 2ab ) - ( 2ab - 2b² ) - ( a² - b² ) =
4b²
(husk at minus-minus giver plus osv.)
Jeg håber, at ovenstående kan hjælpe dig - om ikke andet, så i fremtiden
apr 2011
Følger: 24 Følgere: 29 Biler: 7 Emner: 200 Svar: 1.083
Hjælp til reducering i matematik.